Strona 2 - artykuły na temat aminokwasy

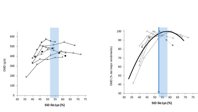
Zapotrzebowanie na izoleucynę w dietach dla świń o niskiej zawartości białka
Niedobór poziomu izoleucyny w paszy o niskiej zawartości surowego białka może zagrozić wzrostowi i stosunkowi przyrostu do spożycia paszy u prosiąt.

Zmienność składu chemicznego i wartości odżywczej mączki sojowej
Mączki sojowe z USA, Brazylii i Argentyny, czyli głównych eksporterów, mogą znacznie różnić się pod względem zawartości składników odżywczych.
Wpływ argininy i leucyny na cechy tuszy tuczników

Prawidłowe funkcjonowanie jelit: wzmocnienie funkcji bariery ochronnej i odpowiedzi immunologicznej.
Probiotyki i aminokwasy usprawniają barierę obronną jelit. Kwasy tłuszczowe omega-3, osocze, probiotyki, prebiotyki, itp. wzmacniają odpowiedz immunologiczną organizmu.
Zwiększona ilość białka w paszy lub wolne aminokwasy u świń poddanych stresowi cieplnemu a cechy wydajności tuszy

Wpływ podaży aminokwasów i energii w późnej ciąży na masę urodzeniową prosiąt i parametry reprodukcyjne
Zwiększenie spożycia paszy w późnej ciąży poprawia nieznacznie przyrost masy ciała loszek i loch i zwiększa częstość urodzeń martwych prosiąt.
Wymagania standardowej przyswajalności w jelicie krętym waliny i lizyny dla prosiąt 8-14 kg.

Żywienie fazowe loch ciężarnych
Dostępność odpowiedniej paszy musi sprostać zapotrzebowaniu loch ciężarnych na odpowiednie składniki odżywcze; stąd istnieje potrzeba żywienia fazowego.